Официальное опубликование правовых актов
ОФИЦИАЛЬНОЕ ОПУБЛИКОВАНИЕ
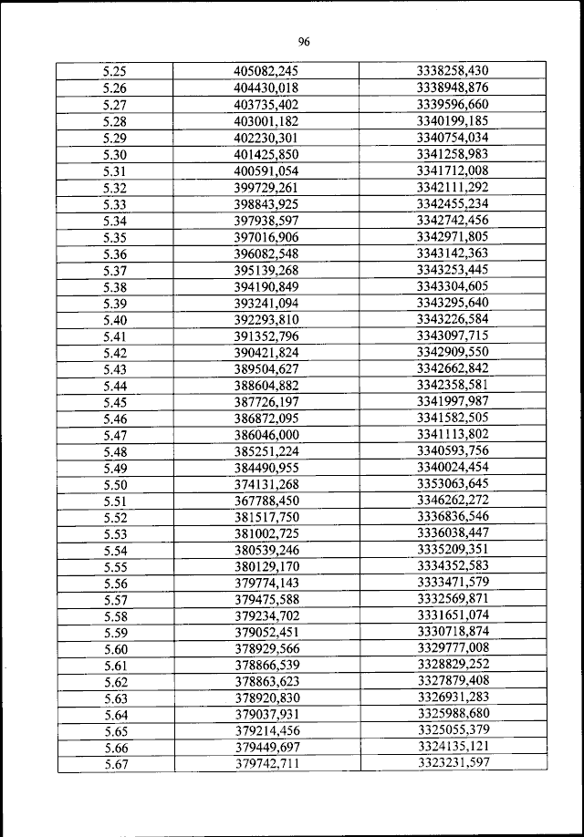
Приказ Министерства промышленности и торговли Российской Федерации от 18.10.2023 № 3942
"Об установлении приаэродромной территории аэродрома экспериментальной авиации Иркутск-2 (Восточный) в составе с 1 по 6 подзону"
(Зарегистрирован 23.01.2024 № 76953)
Номер опубликования: 0001202401240017
Дата опубликования: 24.01.2024
Страница №98 из 114:
Увеличить