Официальное опубликование правовых актов
ОФИЦИАЛЬНОЕ ОПУБЛИКОВАНИЕ
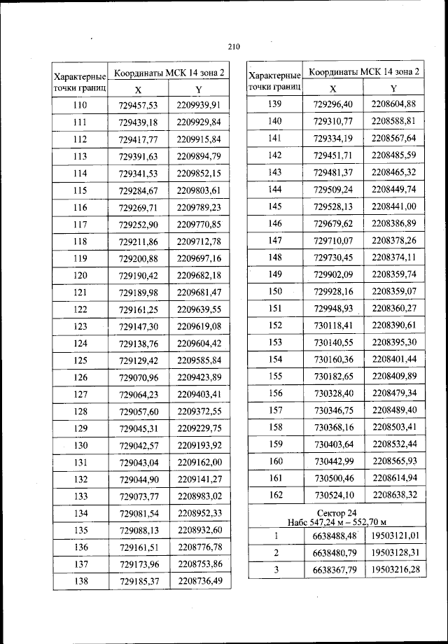
Приказ Федерального агентства воздушного транспорта от 01.11.2023 № 980-П
"Об установлении приаэродромной территории аэродрома гражданской авиации Талакан"
(Зарегистрирован 22.12.2023 № 76564)
Номер опубликования: 0001202312250048
Дата опубликования: 25.12.2023
Страница №211 из 237:
Увеличить