Официальное опубликование правовых актов
ОФИЦИАЛЬНОЕ ОПУБЛИКОВАНИЕ
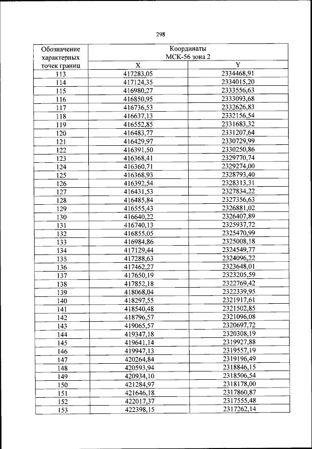
Приказ Федерального агентства воздушного транспорта от 20.11.2023 № 1040-П
"Об установлении приаэродромной территории аэродрома гражданской авиации Оренбург"
(Зарегистрирован 19.12.2023 № 76467)
Номер опубликования: 0001202312200012
Дата опубликования: 20.12.2023
Страница №299 из 320:
Увеличить