Официальное опубликование правовых актов
ОФИЦИАЛЬНОЕ ОПУБЛИКОВАНИЕ
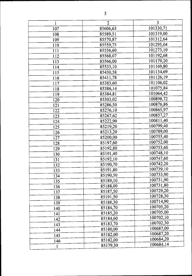
Приказ Федеральной службы охраны Российской Федерации от 18.10.2023 № 133
"Об установлении зоны охраняемых объектов (г. Санкт-Петербург, Петродворцовый район)"
(Зарегистрирован 13.12.2023 № 76363)
Номер опубликования: 0001202312130010
Дата опубликования: 13.12.2023
Страница №5 из 8:
Увеличить