Официальное опубликование правовых актов
ОФИЦИАЛЬНОЕ ОПУБЛИКОВАНИЕ
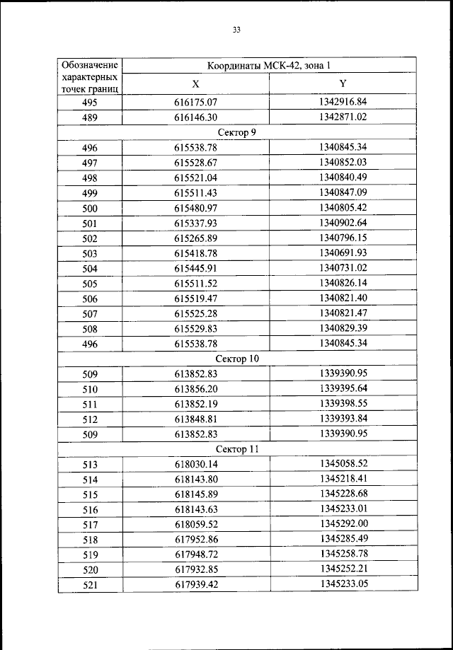
Приказ Федерального агентства воздушного транспорта от 01.11.2023 № 982-П
"Об установлении приаэродромной территории аэродрома гражданской авиации Кемерово"
(Зарегистрирован 07.12.2023 № 76317)
Номер опубликования: 0001202312110003
Дата опубликования: 11.12.2023
Страница №34 из 448:
Увеличить