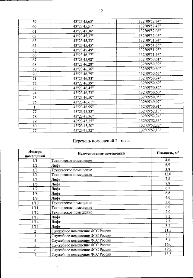
Приказ Министерства транспорта Российской Федерации от 25.10.2023 № 351
"Об утверждении пределов воздушного грузо-пассажирского постоянного многостороннего пункта пропуска через государственную границу Российской Федерации в международном аэропорту Владивосток (Кневичи)"
(Зарегистрирован 29.11.2023 № 76148)
"Об утверждении пределов воздушного грузо-пассажирского постоянного многостороннего пункта пропуска через государственную границу Российской Федерации в международном аэропорту Владивосток (Кневичи)"
(Зарегистрирован 29.11.2023 № 76148)
Номер опубликования: 0001202311290023
Дата опубликования:
29.11.2023
