Официальное опубликование правовых актов
ОФИЦИАЛЬНОЕ ОПУБЛИКОВАНИЕ
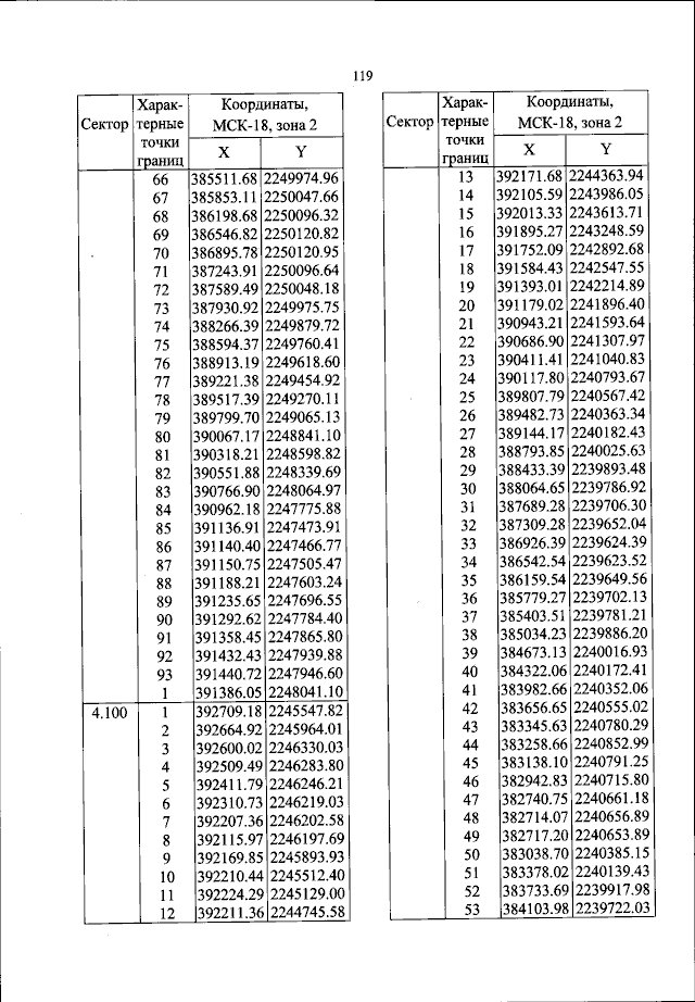
Приказ Федерального агентства воздушного транспорта от 12.10.2023 № 881-П
"Об установлении приаэродромной территории аэродрома гражданской авиации Ижевск"
(Зарегистрирован 13.11.2023 № 75927)
Номер опубликования: 0001202311140023
Дата опубликования: 14.11.2023
Страница №120 из 231:
Увеличить