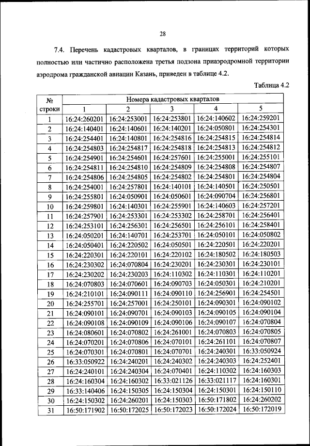
Приказ Федерального агентства воздушного транспорта от 04.09.2023 № 729-П
"Об установлении приаэродромной территории аэродрома гражданской авиации Казань"
(Зарегистрирован 24.10.2023 № 75704)
"Об установлении приаэродромной территории аэродрома гражданской авиации Казань"
(Зарегистрирован 24.10.2023 № 75704)
Номер опубликования: 0001202310240022
Дата опубликования:
24.10.2023
