Официальное опубликование правовых актов
ОФИЦИАЛЬНОЕ ОПУБЛИКОВАНИЕ
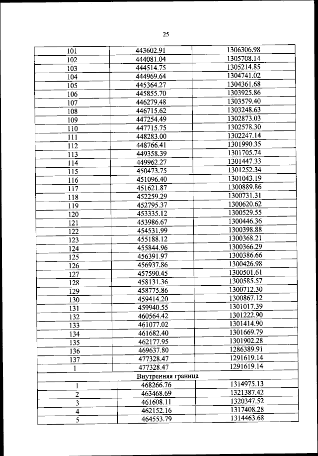
Приказ Федерального агентства воздушного транспорта от 04.09.2023 № 729-П
"Об установлении приаэродромной территории аэродрома гражданской авиации Казань"
(Зарегистрирован 24.10.2023 № 75704)
Номер опубликования: 0001202310240022
Дата опубликования: 24.10.2023
Страница №26 из 338:
Увеличить