Официальное опубликование правовых актов
ОФИЦИАЛЬНОЕ ОПУБЛИКОВАНИЕ
Приказ Министерства культуры Российской Федерации от 20.06.2023 № 1793
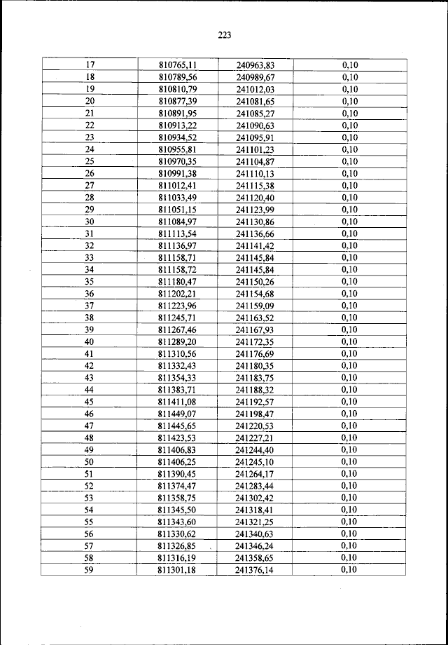
"Об утверждении границ территории объекта культурного наследия федерального значения — достопримечательное место "Поленово", расположенного по адресу: Тульская область Заокский район и Калужская область Тарусский район, а также требований к осуществлению деятельности и градостроительному регламенту в границах территории указанного объекта культурного наследия федерального значения"
(Зарегистрирован 28.09.2023 № 75371)
Номер опубликования: 0001202309290069
Дата опубликования: 29.09.2023
Страница №223 из 385:
Увеличить