Официальное опубликование правовых актов
ОФИЦИАЛЬНОЕ ОПУБЛИКОВАНИЕ
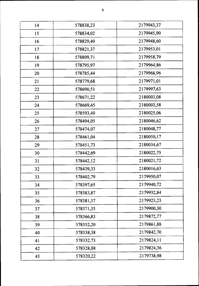
Приказ Министерства культуры Российской Федерации от 30.06.2023 № 1941
"Об утверждении границ зон охраны объекта культурного наследия федерального значения "Ансамбль Зверина (Покровского) монастыря", ХIV - начало ХХ века (Новгородская область, г. Великий Новгород, ул. Бредова-Звериная, д. 16, д. 18, д. 20), включенного в Список всемирного наследия, особых режимов использования земель и требований к градостроительным регламентам в границах территорий данных зон"
(Зарегистрирован 27.09.2023 № 75344)
Номер опубликования: 0001202309270014
Дата опубликования: 27.09.2023
Страница №9 из 53:
Увеличить