Официальное опубликование правовых актов
ОФИЦИАЛЬНОЕ ОПУБЛИКОВАНИЕ
Приказ Министерства культуры Российской Федерации от 20.06.2023 № 1790
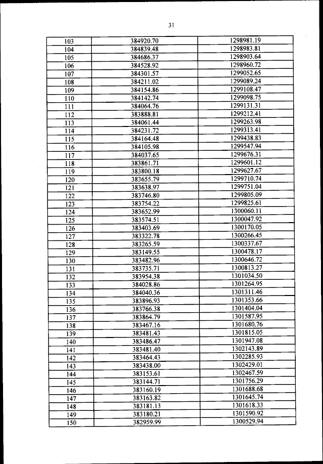
"Об утверждении границ объединенной зоны охраны объектов культурного наследия федерального значения "Комплекс памятников архитектуры ХIII - ХIV вв. на территории Булгарского городища", ХIII - ХIV вв. и "Городище "Болгар" - столица Болгарского государства", Х - ХV вв. (Республика Татарстан (Татарстан), включенных в Список всемирного наследия, особых режимов использования земель и требований к градостроительным регламентам в границах территории данной зоны"
(Зарегистрирован 14.09.2023 № 75223)
Номер опубликования: 0001202309140017
Дата опубликования: 14.09.2023
Страница №31 из 120:
Увеличить