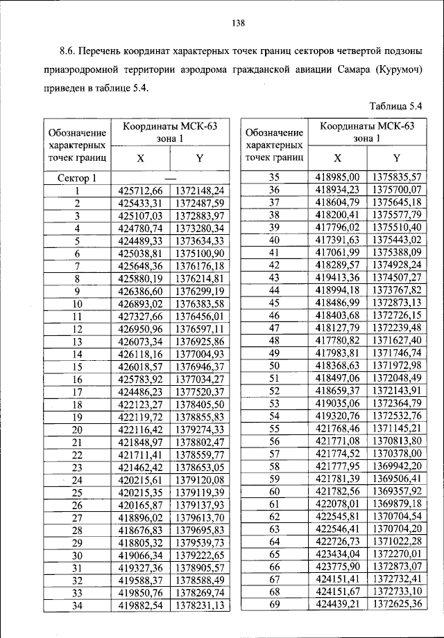
Приказ Федерального агентства воздушного транспорта от 15.08.2023 № 662-П
"Об установлении приаэродромной территории аэродрома гражданской авиации Самара (Курумоч)"
(Зарегистрирован 13.09.2023 № 75205)
"Об установлении приаэродромной территории аэродрома гражданской авиации Самара (Курумоч)"
(Зарегистрирован 13.09.2023 № 75205)
Номер опубликования: 0001202309140009
Дата опубликования:
14.09.2023
