Официальное опубликование правовых актов
ОФИЦИАЛЬНОЕ ОПУБЛИКОВАНИЕ
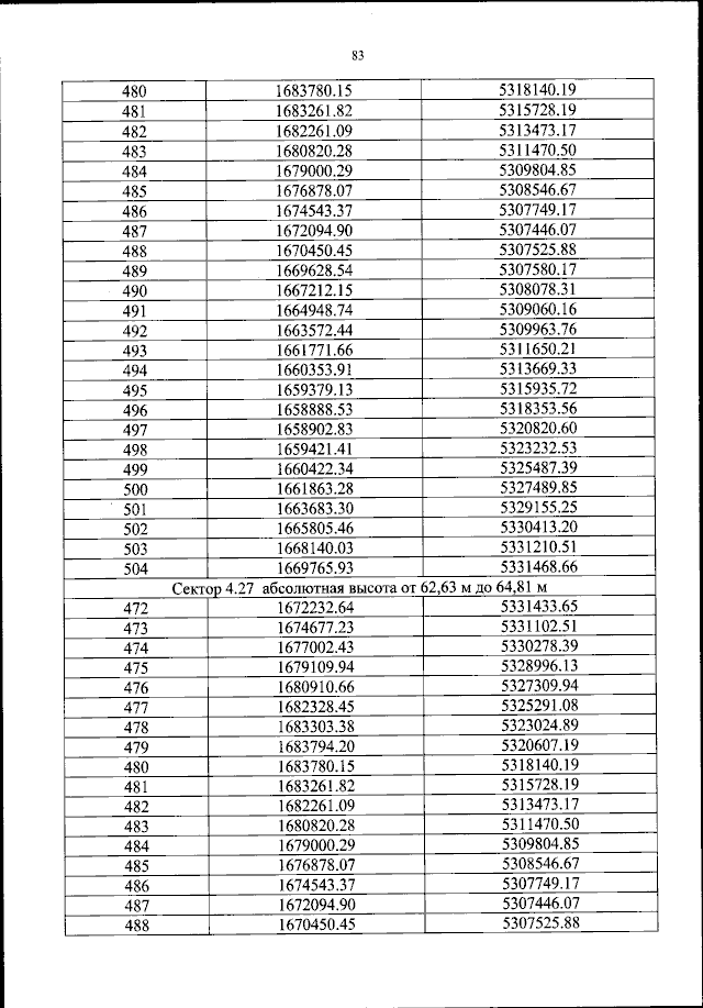
Приказ Федерального агентства воздушного транспорта от 07.08.2023 № 633-П
"Об установлении приаэродромной территории аэродрома гражданской авиации Охотск"
(Зарегистрирован 04.09.2023 № 75095)
Номер опубликования: 0001202309050001
Дата опубликования: 05.09.2023
Страница №84 из 114:
Увеличить