Официальное опубликование правовых актов
ОФИЦИАЛЬНОЕ ОПУБЛИКОВАНИЕ
Приказ Федерального агентства воздушного транспорта от 28.07.2023 № 593-П
"Об установлении приаэродромной территории аэродрома гражданской авиации Сангар"
(Зарегистрирован 28.08.2023 № 74986)
Номер опубликования: 0001202308290003
Дата опубликования: 29.08.2023
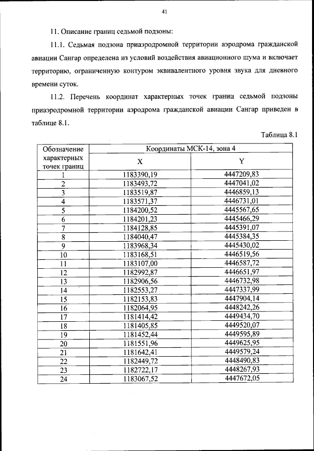
Страница №42 из 53:
Увеличить