Официальное опубликование правовых актов
ОФИЦИАЛЬНОЕ ОПУБЛИКОВАНИЕ
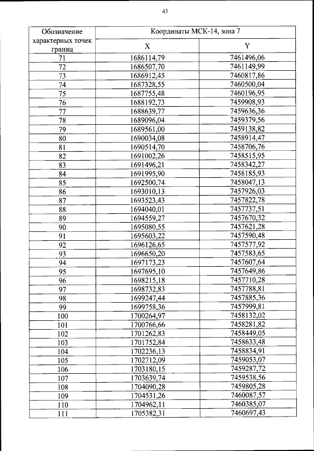
Приказ Федерального агентства воздушного транспорта от 24.07.2023 № 561-П
"Об установлении приаэродромной территории аэродрома гражданской авиации Белая Гора"
(Зарегистрирован 22.08.2023 № 74911)
Номер опубликования: 0001202308220015
Дата опубликования: 22.08.2023
Страница №44 из 61:
Увеличить