Официальное опубликование правовых актов
ОФИЦИАЛЬНОЕ ОПУБЛИКОВАНИЕ
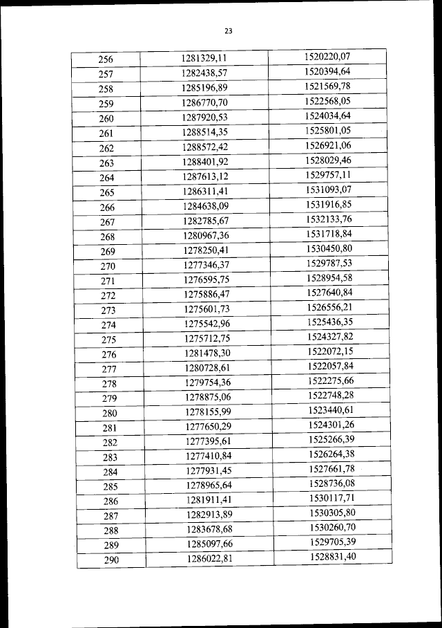
Приказ Федерального агентства воздушного транспорта от 28.06.2023 № 462-П
"Об установлении приаэродромной территории аэродрома гражданской авиации Толька"
(Зарегистрирован 27.07.2023 № 74480)
Номер опубликования: 0001202307280005
Дата опубликования: 28.07.2023
Страница №24 из 56:
Увеличить