Официальное опубликование правовых актов
ОФИЦИАЛЬНОЕ ОПУБЛИКОВАНИЕ
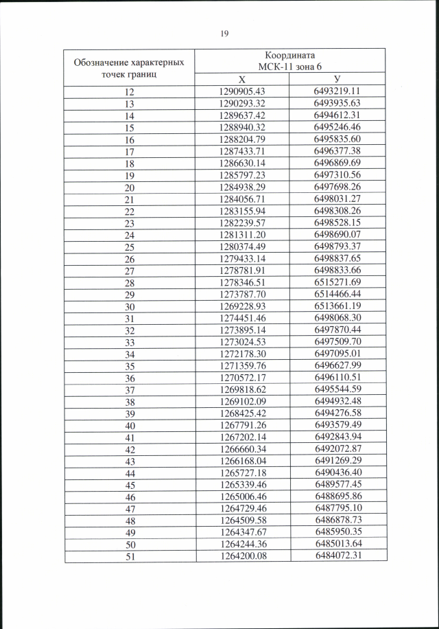
Приказ Федерального агентства воздушного транспорта от 23.05.2023 № 336-П
"Об установлении приаэродромной территории аэродрома гражданской авиации Воркута"
(Зарегистрирован 13.07.2023 № 74265)
Номер опубликования: 0001202307140012
Дата опубликования: 14.07.2023
Страница №20 из 139:
Увеличить