Официальное опубликование правовых актов
ОФИЦИАЛЬНОЕ ОПУБЛИКОВАНИЕ
Приказ Министерства культуры Российской Федерации от 26.09.2022 № 1756
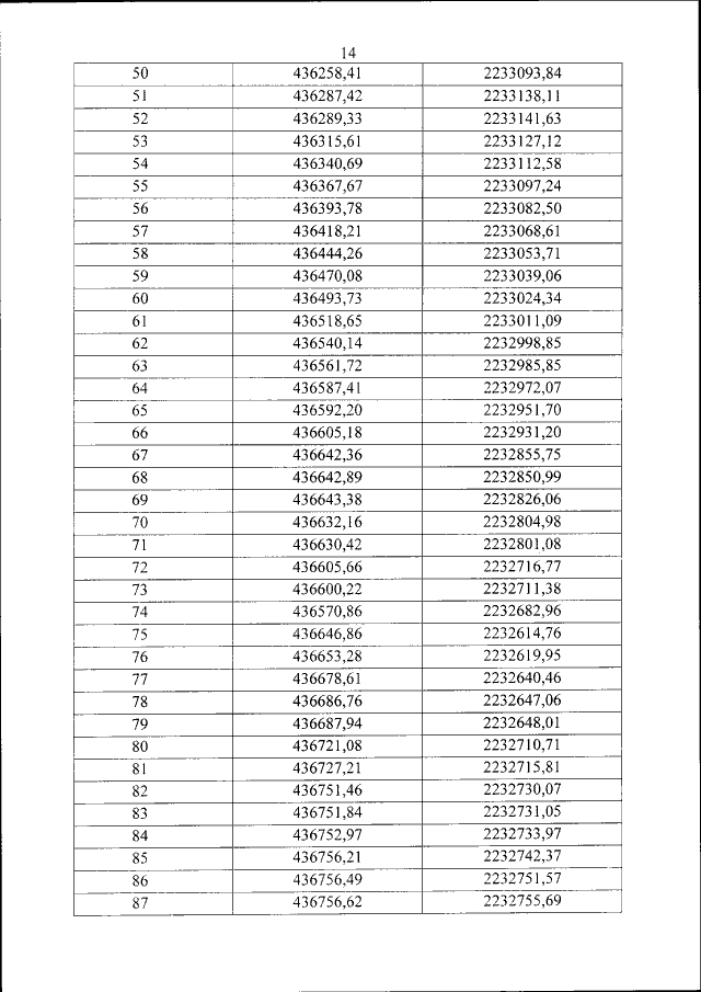
"О включении выявленного объекта культурного наследия "Жилой дом на 8 квартир Научного городка ученого-физиолога И.П.Павлова", 1935 г. (Ленинградская область, Всеволожский муниципальный район, Колтушское сельское поселение, село Павлово, ул. Быкова, д. 48) в единый государственный реестр объектов культурного наследия (памятников истории и культуры) народов Российской Федерации в качестве объекта культурного наследия федерального значения в составе объекта культурного наследия федерального значения "Научный городок ученого-физиолога И.П.Павлова", архитектор И.Ф.Безпалов, 1932-1937 годы, сер. ХХ века (Ленинградская область, Всеволожский район, с. Павлово, Институт физиологии им. И.П.Павлова) и утверждении границ его территории"
(Зарегистрирован 28.10.2022 № 70756)
Номер опубликования: 0001202210280034
Дата опубликования: 28.10.2022
Страница №16 из 18:
Увеличить