Официальное опубликование правовых актов
ОФИЦИАЛЬНОЕ ОПУБЛИКОВАНИЕ
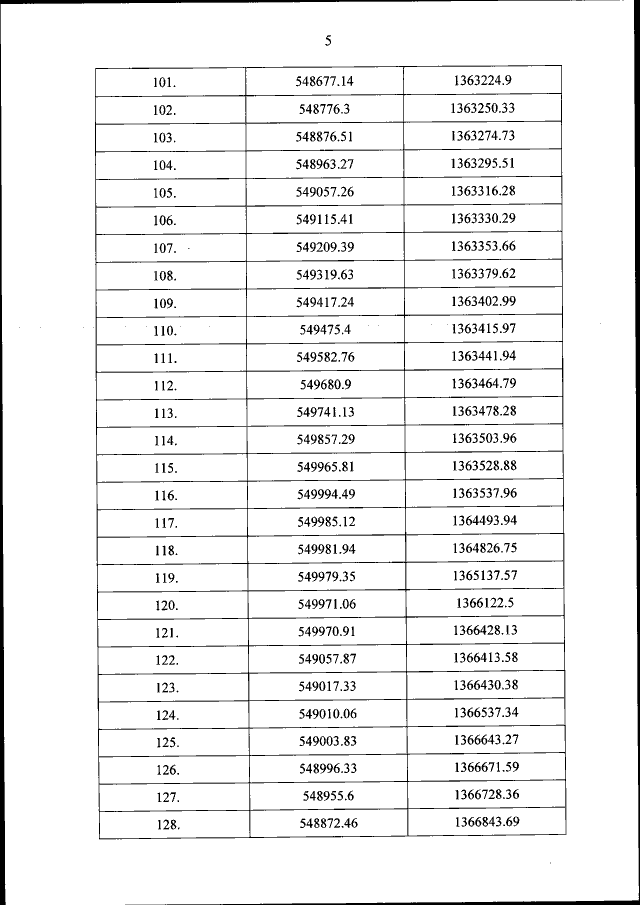
Приказ Министерства природных ресурсов и экологии Российской Федерации от 14.06.2022 № 405
"Об утверждении Положения о государственном природном заказнике федерального значения "Сурский"
(Зарегистрирован 28.09.2022 № 70262)
Номер опубликования: 0001202209280043
Дата опубликования: 28.09.2022
Страница №14 из 79:
Увеличить