Официальное опубликование правовых актов
ОФИЦИАЛЬНОЕ ОПУБЛИКОВАНИЕ
Приказ Министерства культуры Российской Федерации от 04.04.2022 № 497
"О включении выявленных объектов культурного наследия в единый государственный реестр объектов культурного наследия (памятников истории и культуры) народов Российской Федерации в качестве объектов культурного наследия федерального значения в составе объекта культурного наследия федерального значения "Крепостные башни и стены", XVII—XIX вв., входящего в состав объекта культурного наследия федерального значения "Даниловский монастырь", XVI-XIX вв. (г. Москва, ул. Даниловский Вал, д. 22), и утверждении границ их территории"
(Зарегистрирован 02.08.2022 № 69482)
Номер опубликования: 0001202208020023
Дата опубликования: 02.08.2022
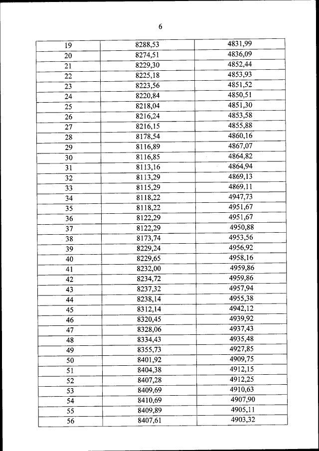
Страница №9 из 10:
Увеличить