Официальное опубликование правовых актов
ОФИЦИАЛЬНОЕ ОПУБЛИКОВАНИЕ
Приказ Министерства культуры Российской Федерации от 19.04.2022 № 610
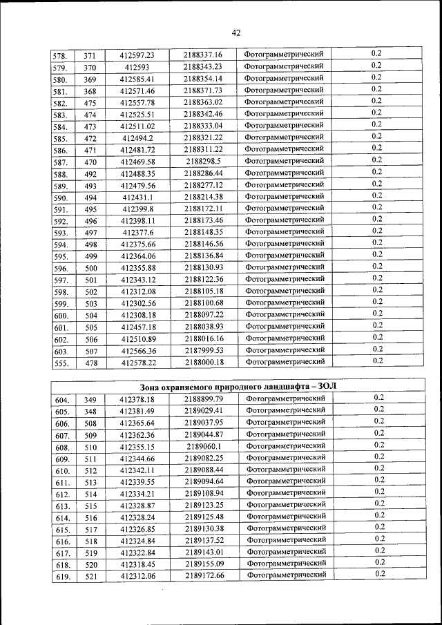
"Об установлении границ зон охраны объекта культурного наследия федерального значения "Дворец со службами и парком", XVIII - начало ХХ века (Ленинградская область, Ломоносовский район, пос. Ропша), включенного в Список всемирного наследия, и об утверждении требований к градостроительным регламентам в границах территорий данных зон"
(Зарегистрирован 10.06.2022 № 68827)
Номер опубликования: 0001202206100015
Дата опубликования: 10.06.2022
Страница №42 из 53:
Увеличить