Официальное опубликование правовых актов
ОФИЦИАЛЬНОЕ ОПУБЛИКОВАНИЕ
Приказ Министерства промышленности и торговли Российской Федерации от 15.02.2022 № 404
"Об установлении приаэродромной территории (подзоны 1 - 6) аэродрома экспериментальной авиации Луховицы (Третьяково)"
(Зарегистрирован 06.04.2022 № 68094)
Номер опубликования: 0001202204060036
Дата опубликования: 06.04.2022
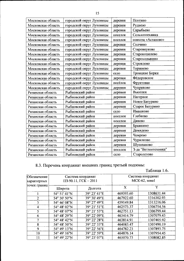
Страница №17 из 251:
Увеличить