Приказ Министерства культуры Российской Федерации от 25.10.2021 № 1733
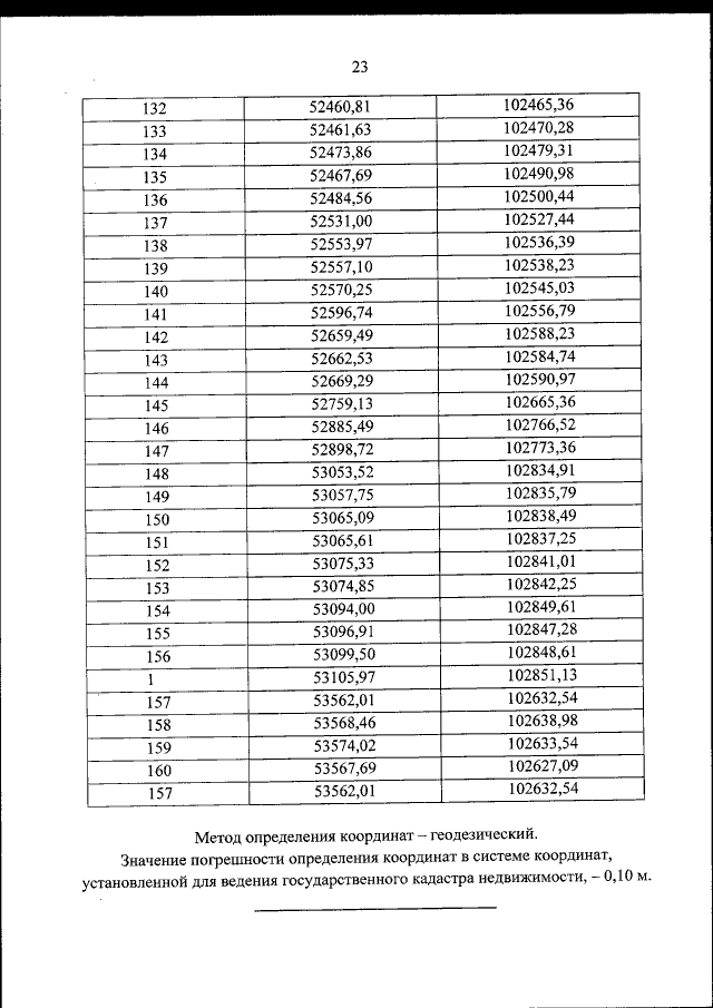
"О включении выявленного объекта культурного наследия "Каменное здание телятника"‚ 1891-1892 гг. (Ленинградская область, Гатчинский район, г. Гатчина, Красноармейский пр.‚ д.1‚ строение 22) в единый государственный реестр объектов культурного наследия (памятников истории и культуры) народов Российской Федерации в качестве объекта культурного наследия федерального значения в составе объекта культурного наследия федерального значения "Ферма", 1797-1892 гг., входящего в состав объекта культурного наследия федерального значения "Ансамбль Гатчинского дворца и парка", 1766-1892 гг. (Ленинградская область, Гатчинский район, г. Гатчина, Дворцовый парк), и утверждении границ его территории"
(Зарегистрирован 16.02.2022 № 67319)
"О включении выявленного объекта культурного наследия "Каменное здание телятника"‚ 1891-1892 гг. (Ленинградская область, Гатчинский район, г. Гатчина, Красноармейский пр.‚ д.1‚ строение 22) в единый государственный реестр объектов культурного наследия (памятников истории и культуры) народов Российской Федерации в качестве объекта культурного наследия федерального значения в составе объекта культурного наследия федерального значения "Ферма", 1797-1892 гг., входящего в состав объекта культурного наследия федерального значения "Ансамбль Гатчинского дворца и парка", 1766-1892 гг. (Ленинградская область, Гатчинский район, г. Гатчина, Дворцовый парк), и утверждении границ его территории"
(Зарегистрирован 16.02.2022 № 67319)
Номер опубликования: 0001202202170019
Дата опубликования:
17.02.2022
