Официальное опубликование правовых актов
ОФИЦИАЛЬНОЕ ОПУБЛИКОВАНИЕ
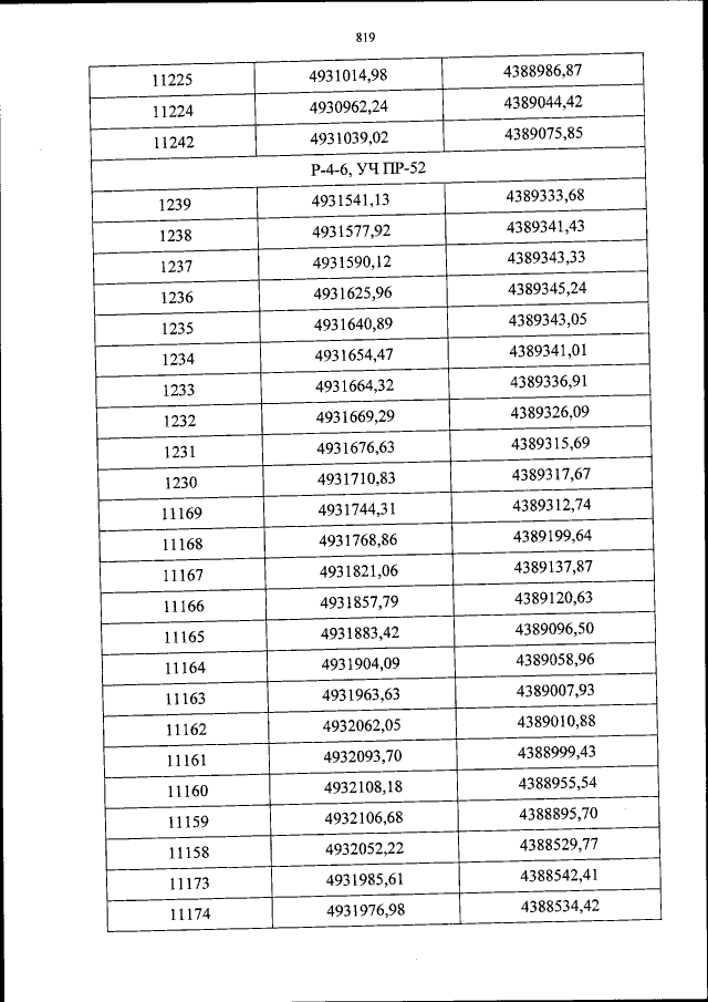
Приказ Министерства культуры Российской Федерации от 22.10.2021 № 1726
"О внесении изменений в приложения № 1, № 2 к приказу Минкультуры России от 12 августа 2016 г. № 1864 "Об утверждении требований к осуществлению деятельности и градостроительным регламентам в границах территории объекта культурного наследия федерального значения - достопримечательное место "Древний город Херсонес Таврический и крепости Чембало и Каламита", расположенного в городе Севастополе"
(Зарегистрирован 02.12.2021 № 66181)
Номер опубликования: 0001202112020027
Дата опубликования: 02.12.2021
Страница №821 из 835:
Увеличить