Официальное опубликование правовых актов
ОФИЦИАЛЬНОЕ ОПУБЛИКОВАНИЕ
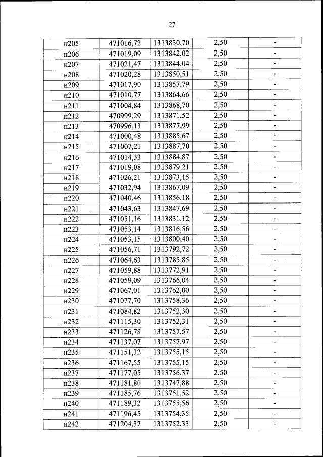
Приказ Министерства культуры Российской Федерации от 16.06.2020 № 652
"О внесении изменений в приложения № 1, № 2 к приказу Минкультуры России от 30 сентября 2019 г. № 1449 "Об утверждении требований к осуществлению деятельности и градостроительным регламентам в границах территории объекта культурного наследия федерального значения-достопримечательное место "Есенинская Русь — место, связанное с жизнью и творчеством поэта С.А.Есенина"‚ расположенного по адресу: Рязанская область, Рыбновский район, Рязанский район, г. Рязань"
(Зарегистрирован 10.07.2020 № 58910)
Номер опубликования: 0001202007130067
Дата опубликования: 13.07.2020
Страница №29 из 58:
Увеличить