Официальное опубликование правовых актов
ОФИЦИАЛЬНОЕ ОПУБЛИКОВАНИЕ
Приказ Министерства природных ресурсов и экологии Российской Федерации от 10.12.2018 № 650
"Об утверждении Положения о национальном парке "Чикой"
(Зарегистрирован 26.12.2018 № 53190)
Номер опубликования: 0001201812270054
Дата опубликования: 27.12.2018
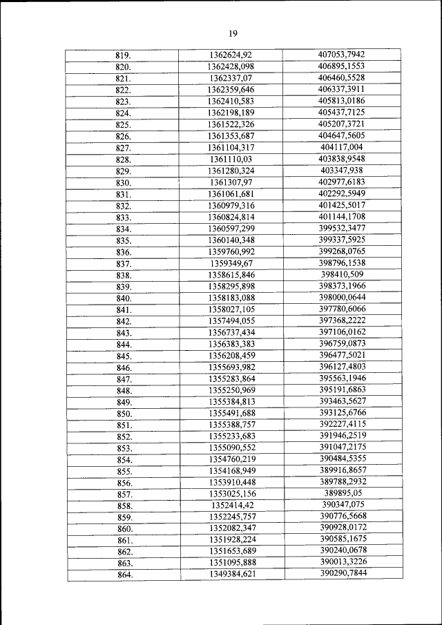
Страница №33 из 56:
Увеличить