Официальное опубликование правовых актов
ОФИЦИАЛЬНОЕ ОПУБЛИКОВАНИЕ
Приказ Министерства цифрового развития, связи и массовых коммуникаций Российской Федерации от 29.10.2018 № 573
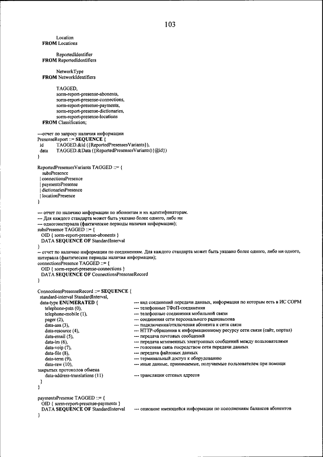
"Об утверждении Требований к техническим и программным средствам информационных систем, содержащих базы данных абонентов оператора связи и предоставленных им услугах связи, а также информацию о пользователях услугами связи и о предоставленных им услугах связи, обеспечивающих выполнение установленных действий при проведении оперативно-розыскных мероприятий"
(Зарегистрирован 18.12.2018 № 53028)
Номер опубликования: 0001201812190001
Дата опубликования: 19.12.2018
Страница №103 из 140:
Увеличить