Официальное опубликование правовых актов
ОФИЦИАЛЬНОЕ ОПУБЛИКОВАНИЕ
Приказ Министерства культуры Российской Федерации от 21.07.2017 № 1233
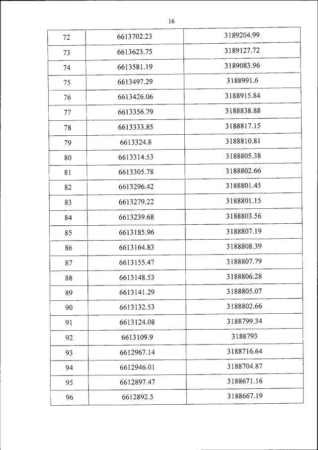
"Об утверждении границ и режима использования территории объекта культурного наследия федерального значения "Дворец со службами и парком", ХVIII - начало ХХ века, расположенного по адресу: Ленинградская область, Ломоносовский район, пос. Ропша"
(Зарегистрирован 16.08.2017 № 47822)
Номер опубликования: 0001201708170024
Дата опубликования: 17.08.2017
Страница №16 из 28:
Увеличить