Официальное опубликование правовых актов
ОФИЦИАЛЬНОЕ ОПУБЛИКОВАНИЕ
Приказ Министерства культуры Российской Федерации от 05.10.2016 № 2246
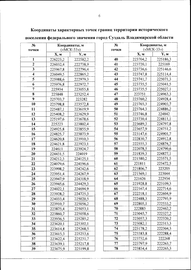
"Об утверждении предмета охраны, границ территории и требований к градостроительным регламентам в границах территории исторического поселения федерального значения город Суздаль Владимирской области"
(Зарегистрирован 19.12.2016 № 44785)
Номер опубликования: 0001201612200053
Дата опубликования: 20.12.2016
Страница №6 из 191:
Увеличить