Официальное опубликование правовых актов
ОФИЦИАЛЬНОЕ ОПУБЛИКОВАНИЕ
Приказ Министерства здравоохранения Российской Федерации от 29.06.2016 № 430н
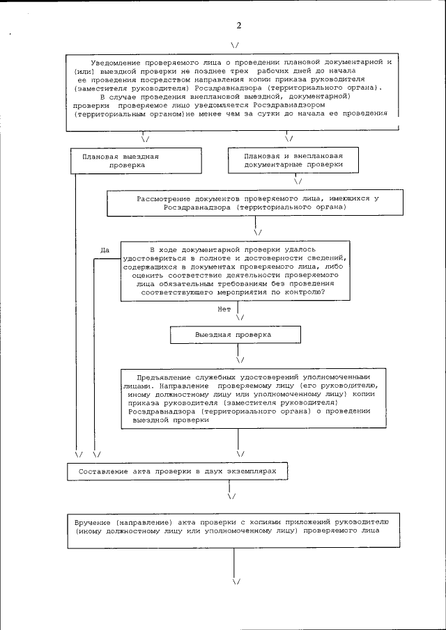
"Об утверждении Административного регламента Федеральной службы по надзору в сфере здравоохранения по исполнению государственной функции по осуществлению контроля за достоверностью первичных статистических данных, предоставляемых медицинскими организациями и индивидуальными предпринимателями, осуществляющими медицинскую деятельность"
(Зарегистрирован 13.07.2016 № 42826)
Номер опубликования: 0001201607140046
Дата опубликования: 14.07.2016
Страница №36 из 37:
Увеличить