Официальное опубликование правовых актов
ОФИЦИАЛЬНОЕ ОПУБЛИКОВАНИЕ
Приказ Министерства культуры Российской Федерации от 14.01.2016 № 33
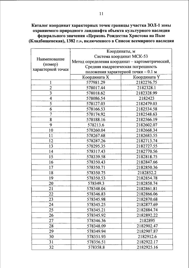
"Об утверждении границ зон охраны объекта культурного наследия федерального значения "Церковь Рождества Христова на Поле (Кладбищенская), 1382 г."‚ включенного в Список всемирного наследия, а также режимов использования земель и требований к градостроительным регламентам в границах данных зон"
(Зарегистрирован 24.03.2016 № 41539)
Номер опубликования: 0001201603290009
Дата опубликования: 29.03.2016
Страница №13 из 148:
Увеличить