Официальное опубликование правовых актов
ОФИЦИАЛЬНОЕ ОПУБЛИКОВАНИЕ
Приказ Министерства культуры Российской Федерации от 23.12.2015 № 3206
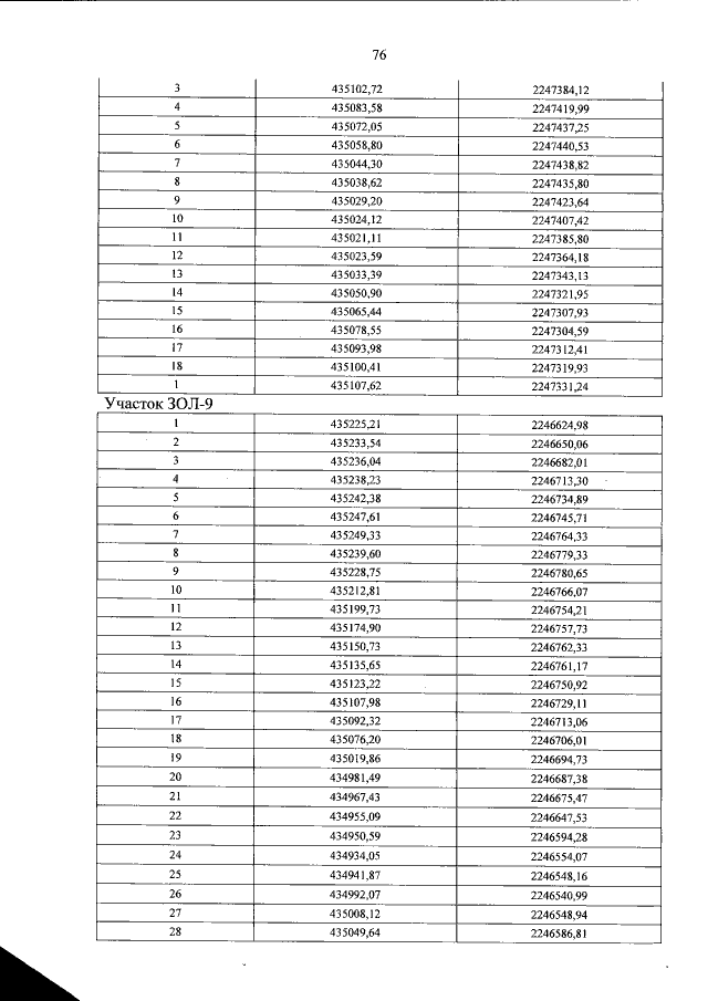
"Об утверждении границ зон охраны объекта культурного наследия федерального значения "Ансамбль Ферапонтова монастыря, конец ХV-ХVII век, конец ХVIII века, ХIХ век, начало ХХ века", включенного в Список всемирного наследия, а также режимов использования земель и требований к градостроительным регламентам в границах данных зон"
(Зарегистрирован 28.01.2016 № 40881)
Номер опубликования: 0001201602030015
Дата опубликования: 03.02.2016
Страница №78 из 94:
Увеличить