Официальное опубликование правовых актов
ОФИЦИАЛЬНОЕ ОПУБЛИКОВАНИЕ
Приказ Министерства культуры Российской Федерации от 18.12.2015 № 3133
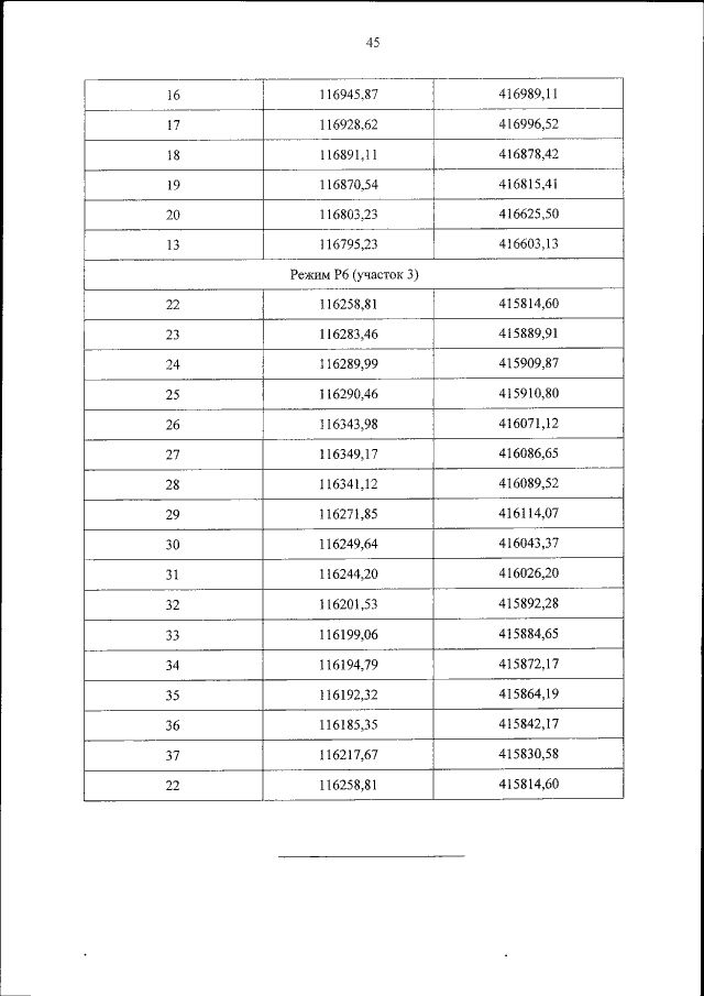
"Об утверждении требований к осуществлению деятельности и градостроительным регламентам в границах территории объекта культурного наследия федерального значения — достопримечательное место "Цитадель и исторический город в крепостных стенах Дербента", расположенного в г. Дербент, Республика Дагестан"
(Зарегистрирован 27.01.2016 № 40818)
Номер опубликования: 0001201602010046
Дата опубликования: 01.02.2016
Страница №45 из 45:
Увеличить