Официальное опубликование правовых актов
ОФИЦИАЛЬНОЕ ОПУБЛИКОВАНИЕ
Приказ Федерального агентства по обустройству государственной границы Российской Федерации от 10.08.2015 № 194-ОД
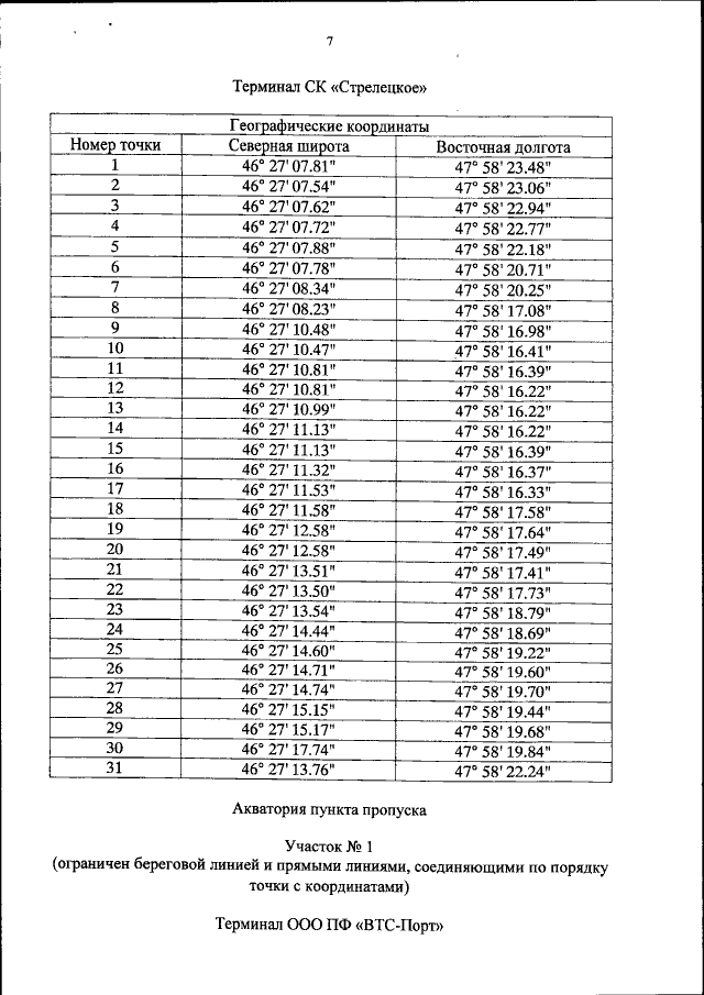
"Об утверждении пределов морского грузо-пассажирского постоянного многостороннего пункта пропуска через государственную границу Российской Федерации в морском порту Астрахань (Астраханская область)"
(Зарегистрирован 28.08.2015 № 38744)
Номер опубликования: 0001201509020020
Дата опубликования: 02.09.2015
Страница №8 из 10:
Увеличить