Официальное опубликование правовых актов
ОФИЦИАЛЬНОЕ ОПУБЛИКОВАНИЕ
Приказ Министерства культуры Российской Федерации от 29.04.2015 № 1341
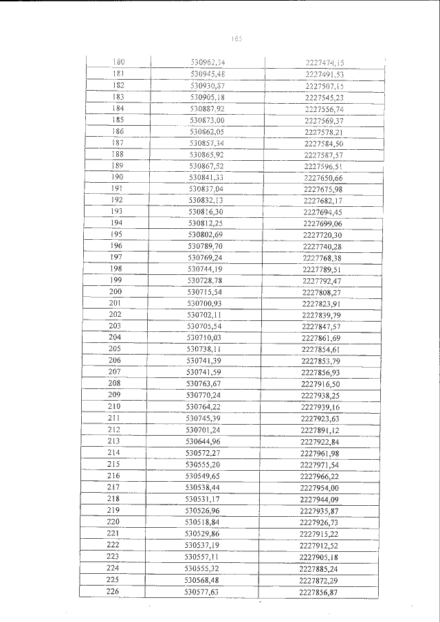
"Об утверждении границ зон охраны объекта культурного наследия федерального значения "Ансамбль Троице-Сергиевской лавры, 1540-1550 гг.", включенного в Список всемирного наследия, а также требований к режимам использования земель и градостроительным регламентам в границах данных зон"
(Зарегистрирован 06.07.2015 № 37906)
Номер опубликования: 0001201507080017
Дата опубликования: 08.07.2015
Страница №168 из 183:
Увеличить