Официальное опубликование правовых актов
ОФИЦИАЛЬНОЕ ОПУБЛИКОВАНИЕ
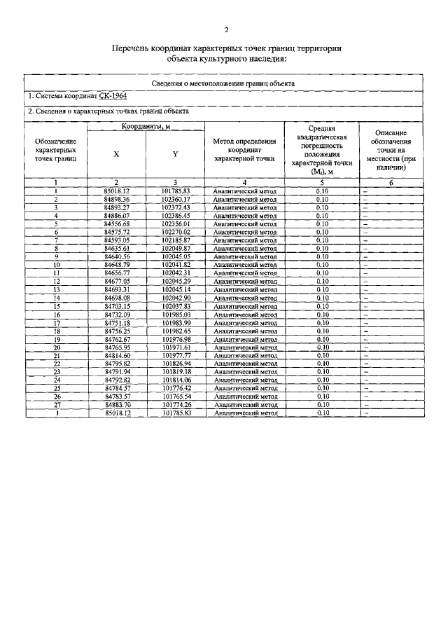
Распоряжение Комитета по государственному контролю, использованию и охране памятников истории и культуры Санкт-Петербурга от 16.05.2023 № 352-рп
"Об утверждении границ и режима использования территории объекта культурного наследия регионального значения "Дача фон Моллер"
(Зарегистрирован 17.05.2023 № 34911)
Номер опубликования: 7801202305190009
Дата опубликования: 19.05.2023
Страница №4 из 5:
Увеличить