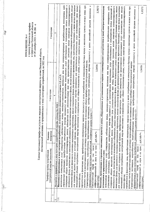
Приказ Комитета по тарифам и энергетике Псковской области от 28.12.2021 № 286-э
"Об установлении единых (котловых) тарифов на услуги по передаче электрической энергии по сетям Псковской области на 2022 год"
"Об установлении единых (котловых) тарифов на услуги по передаче электрической энергии по сетям Псковской области на 2022 год"
Номер опубликования: 6001202112290010
Дата опубликования:
29.12.2021
