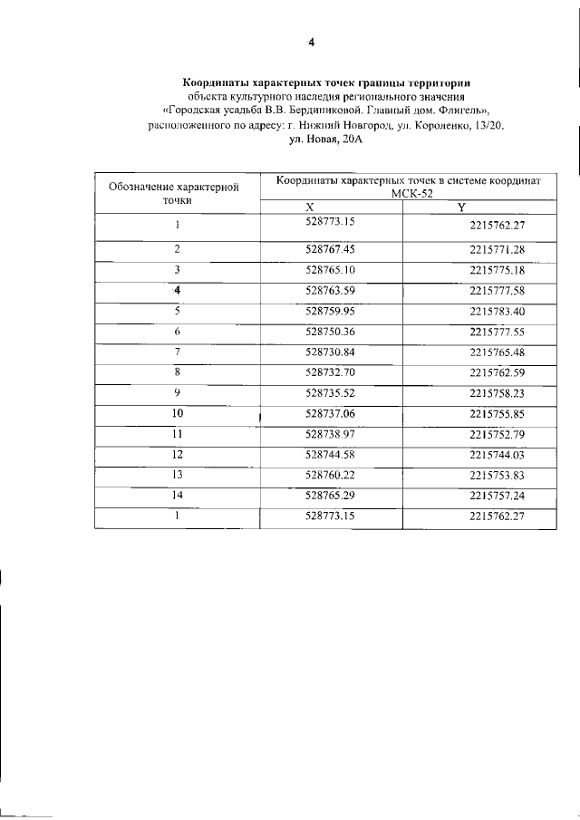
Приказ Управления государственной охраны объектов культурного наследия Нижегородской области от 23.03.2020 № 129
"О включении выявленных объектов культурного наследия, расположенных на улицах Короленко и Новой в г. Нижнем Новгороде, в единый государственный реестр объектов культурного наследия (памятников истории и культуры) народов Российской Федерации в качестве объектов культурного наследия регионального значения, утверждении границ и режима использования их территорий"
(Зарегистрирован 30.03.2020 № 14991-518-129)
"О включении выявленных объектов культурного наследия, расположенных на улицах Короленко и Новой в г. Нижнем Новгороде, в единый государственный реестр объектов культурного наследия (памятников истории и культуры) народов Российской Федерации в качестве объектов культурного наследия регионального значения, утверждении границ и режима использования их территорий"
(Зарегистрирован 30.03.2020 № 14991-518-129)
Номер опубликования: 5201202004030001
Дата опубликования:
03.04.2020
