Официальное опубликование правовых актов
ОФИЦИАЛЬНОЕ ОПУБЛИКОВАНИЕ
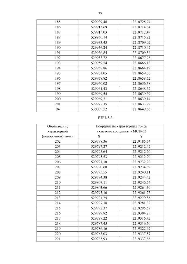
Постановление Правительства Нижегородской области от 30.06.2022 № 487 "Об установлении объединенной зоны охраны объектов культурного наследия федерального значения "Ансамбль Печерского монастыря" (Приволжская ул., 108) и "Соборная мечеть" (Казанская набережная, дом 6) в г. Нижнем Новгороде, утверждении требований к градостроительным регламентам в границах территорий данной зоны"
Номер опубликования: 5200202207010001
Дата опубликования: 01.07.2022
Страница №77 из 106:
Увеличить