Официальное опубликование правовых актов
ОФИЦИАЛЬНОЕ ОПУБЛИКОВАНИЕ
Постановление Правительства Московской области от 03.08.2021 № 629/24
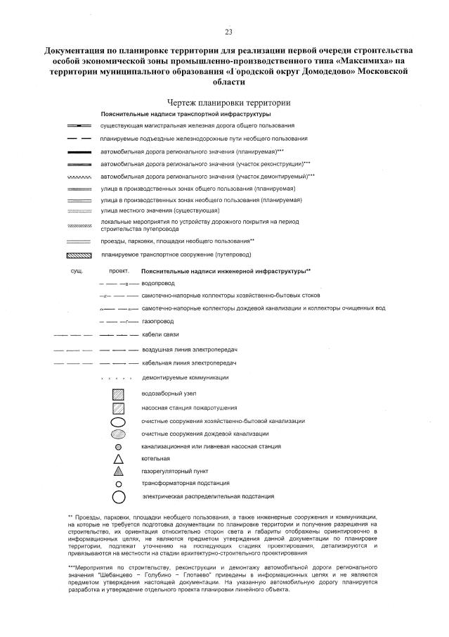
"Об утверждении документации по планировке территории для реализации первой очереди строительства особой экономической зоны промышленно-производственного типа "Максимиха" на территории муниципального образования "Городской округ Домодедово" Московской области"
Номер опубликования: 5000202108030008
Дата опубликования: 03.08.2021
Страница №25 из 80:
Увеличить