Официальное опубликование правовых актов
ОФИЦИАЛЬНОЕ ОПУБЛИКОВАНИЕ
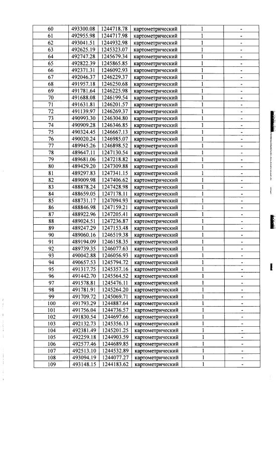
Приказ Министерства природных ресурсов и экологии Калужской области от 31.05.2021 № 537-21
"Об особо охраняемой природной территории регионального значения – памятнике природы "Угодья совхоза "Семеновский"
(Зарегистрирован 15.06.2021 № 10673)
Номер опубликования: 4001202106180004
Дата опубликования: 18.06.2021
Страница №4 из 8:
Увеличить