Официальное опубликование правовых актов
ОФИЦИАЛЬНОЕ ОПУБЛИКОВАНИЕ
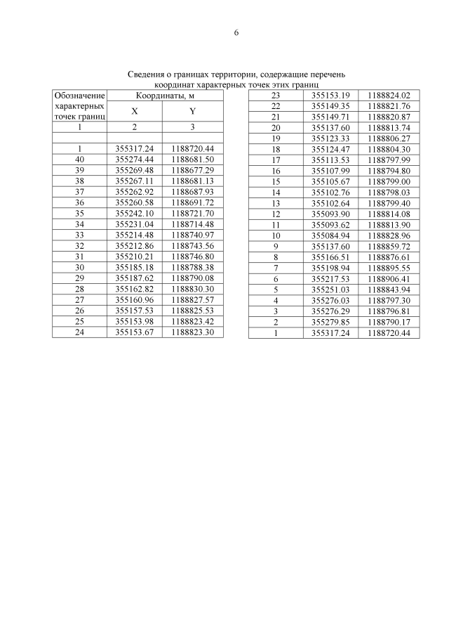
Приказ Министерства градостроительной политики Калининградской области от 21.12.2022 № 521
"Об утверждении проекта межевания территории в границах проспект Гвардейский – улиц Театральной – Генерала Галицкого в городе Калининграде"
Номер опубликования: 3901202212260033
Дата опубликования: 26.12.2022
Страница №8 из 9:
Увеличить