Официальное опубликование правовых актов
ОФИЦИАЛЬНОЕ ОПУБЛИКОВАНИЕ
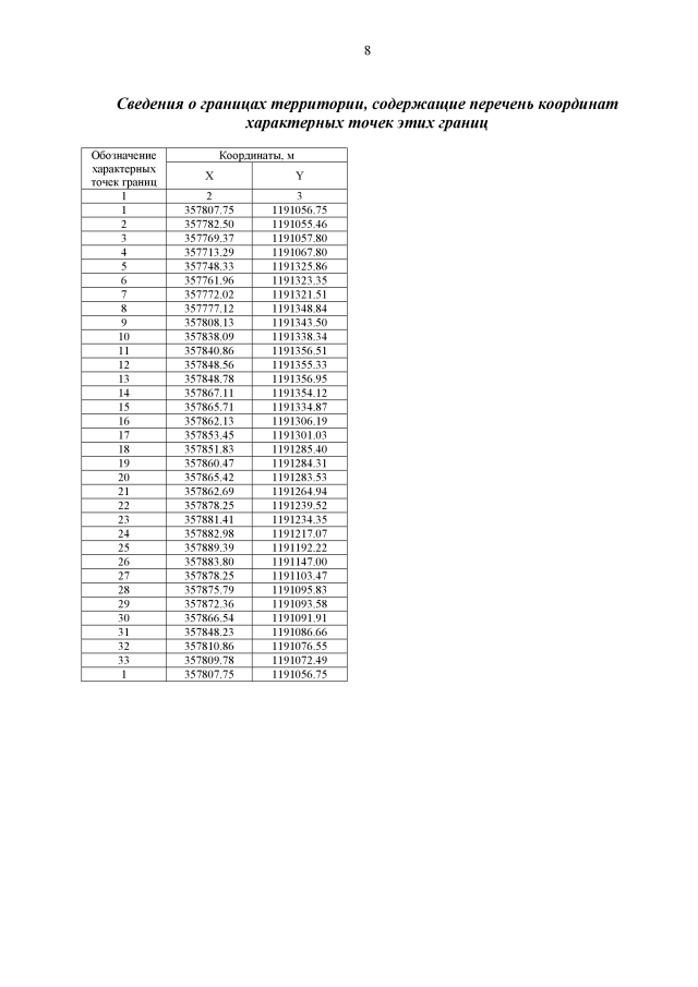
Приказ Агентства по архитектуре, градостроению и перспективному развитию Калининградской области от 03.02.2022 № 71
"Об утверждении проекта внесения изменений в проект межевания территории, утвержденный постановлением администрации городского округа "Город Калининград" от 17 апреля 2017 года № 520"
Номер опубликования: 3901202202100004
Дата опубликования: 10.02.2022
Страница №10 из 11:
Увеличить