Официальное опубликование правовых актов
ОФИЦИАЛЬНОЕ ОПУБЛИКОВАНИЕ
Приказ Агентства по архитектуре, градостроению и перспективному развитию Калининградской области от 03.02.2022 № 70
"Об утверждении документации по планировке территории, предусматривающей размещение линейного объекта местного значения"
Номер опубликования: 3901202202100003
Дата опубликования: 10.02.2022
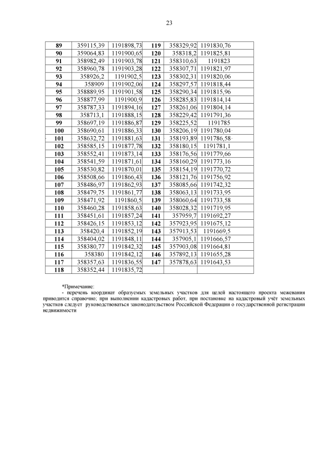
Страница №25 из 30:
Увеличить