Официальное опубликование правовых актов
ОФИЦИАЛЬНОЕ ОПУБЛИКОВАНИЕ
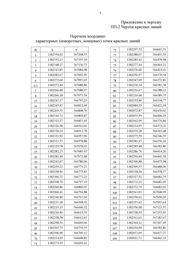
Приказ Агентства по архитектуре, градостроению и перспективному развитию Калининградской области от 13.12.2021 № 516
"Об утверждении проекта планировки территории с проектом межевания в его составе в границах улицы Новая в поселке Кузнецкое муниципального образования "Зеленоградский городской округ" Калининградской области"
Номер опубликования: 3901202112160010
Дата опубликования: 16.12.2021
Страница №9 из 24:
Увеличить