Официальное опубликование правовых актов
ОФИЦИАЛЬНОЕ ОПУБЛИКОВАНИЕ
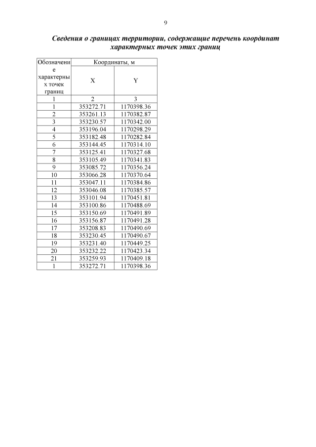
Приказ Агентства по архитектуре, градостроению и перспективному развитию Калининградской области от 28.05.2021 № 220
"Об утверждении проекта межевания территории в границах переулка Крайний – улиц Вишневая – Южная в поселке Волочаевское муниципального образования "Светловский городской округ" Калининградской области"
Номер опубликования: 3901202106040005
Дата опубликования: 04.06.2021
Страница №11 из 13:
Увеличить