Официальное опубликование правовых актов
ОФИЦИАЛЬНОЕ ОПУБЛИКОВАНИЕ
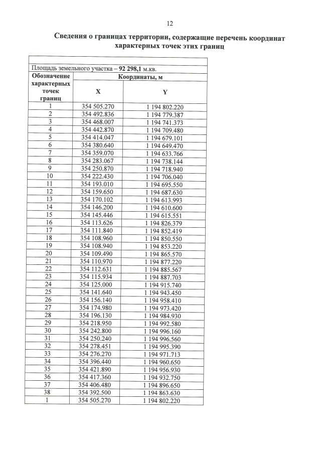
Приказ Агентства по архитектуре, градостроению и перспективному развитию Калининградской области от 03.11.2020 № 465
"Об утверждении проекта внесения изменений в проект межевания территории в составе документации по планировке территории, утвержденной постановлением администрации городского округа "Город Калининград" от 08 октября 2014 года № 1568"
Номер опубликования: 3901202011100013
Дата опубликования: 10.11.2020
Страница №14 из 16:
Увеличить