Официальное опубликование правовых актов
ОФИЦИАЛЬНОЕ ОПУБЛИКОВАНИЕ
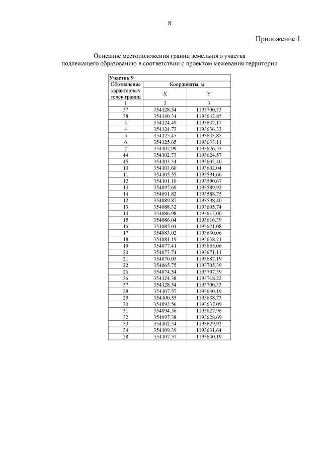
Приказ Агентства по архитектуре, градостроению и перспективному развитию Калининградской области от 28.05.2020 № 219
"Об утверждении проекта внесения изменений в проект межевания территории в составе документации по планировке территории "Проект планировки территории с проектом межевания в его составе в границах просп. Московский – ручей Восточный – территория СНТ "Чайка" - ул. Баженова – территория СНТ "Заря" - ул. Ялтинская – эстакада "Восточная" в Ленинградском районе"
Номер опубликования: 3901202006030004
Дата опубликования: 03.06.2020
Страница №10 из 10:
Увеличить