Официальное опубликование правовых актов
ОФИЦИАЛЬНОЕ ОПУБЛИКОВАНИЕ
Приказ Агентства по архитектуре, градостроению и перспективному развитию Калининградской области от 24.06.2019 № 189
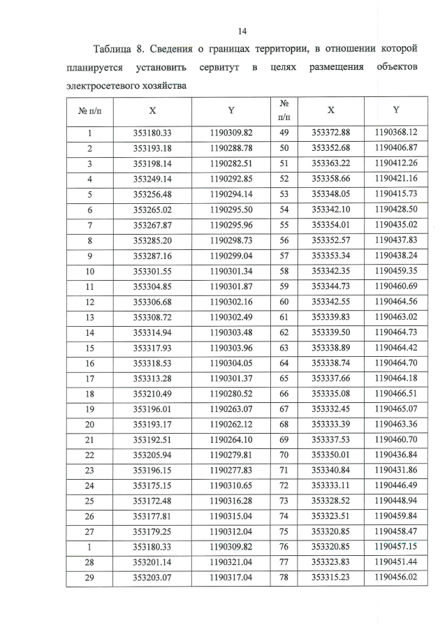
"Об утверждении проекта межевания территории, предусматривающего размещение объекта регионального значения "Музейный и театрально-образовательный комплексы в г. Калининграде"
Номер опубликования: 3901201906280010
Дата опубликования: 28.06.2019
Страница №16 из 17:
Увеличить